Found 42 vector images for 'Going'

570x428 Basketball Going Into Hoop Png Transparent Basketball Going Into
570x428 Basketball Going Into Hoop Png Transparent Basketball Going Into
480x381 Wrecking Ball Going Through A Brick Wall Royalty Free Vector Clip
480x381 Wrecking Ball Going Through A Brick Wall Royalty Free Vector Clip
900x620 Typewriter Content Marketing I Pray For A Life Of Going Nowhere
900x620 Typewriter Content Marketing I Pray For A Life Of Going Nowhere
1200x1600 The Terminator Poster Going For A Simple Feel With Vector Work
1200x1600 The Terminator Poster Going For A Simple Feel With Vector Work
500x333 Vector Rendering Of An Ocean Going Tugboat Mirto Art Studio
500x333 Vector Rendering Of An Ocean Going Tugboat Mirto Art Studio
900x620 Typewriter Content Marketing I Pray For A Life Of Going Nowhere
900x620 Typewriter Content Marketing I Pray For A Life Of Going Nowhere
955x579 Is Eugene Going To Get Uber Or Lyft (Again) Jared Hicks Properties
955x579 Is Eugene Going To Get Uber Or Lyft (Again) Jared Hicks Properties
800x595 Graphic Vector Diagram With Red Arrow Going Up Stock Vector
800x595 Graphic Vector Diagram With Red Arrow Going Up Stock Vector
1024x1024 Going Van Gogh Terrible
1024x1024 Going Van Gogh Terrible
600x208 Going Old School Making Games With A Retro Aesthetic
600x208 Going Old School Making Games With A Retro Aesthetic
800x800 Man Going Through Metal Detector Gate Vector Sketch Icon Isolated
800x800 Man Going Through Metal Detector Gate Vector Sketch Icon Isolated
1072x1068 Raygunn Is Going To The Vector Volcano Tomorrow!!! The Arcade
1072x1068 Raygunn Is Going To The Vector Volcano Tomorrow!!! The Arcade
683x800 Modern Social Media Content Going Down To The Computer Stock
683x800 Modern Social Media Content Going Down To The Computer Stock
450x466 Star Shape Is An Illustration Of Four Different Star Shapes Going
450x466 Star Shape Is An Illustration Of Four Different Star Shapes Going
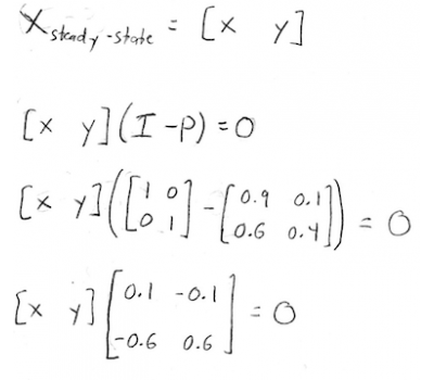
400x350 Bloomington Tutors Blog Going Steady (State) With Markov Processes
400x350 Bloomington Tutors Blog Going Steady (State) With Markov Processes
737x800 Back To School. Vector Illustration Of Cartoon Kids Going To
737x800 Back To School. Vector Illustration Of Cartoon Kids Going To
700x700 This Turkish Chef Is Going Viral For His Sensual Meat Salting, And
700x700 This Turkish Chef Is Going Viral For His Sensual Meat Salting, And
450x414 Cartoon Pictures For Kids Vector Illustration Cartoon Kids Going
450x414 Cartoon Pictures For Kids Vector Illustration Cartoon Kids Going
600x427 Kids Going To School Vector Illustration Lenm ( 506450) Stockfresh
600x427 Kids Going To School Vector Illustration Lenm ( 506450) Stockfresh
800x468 Back To School. Vector Illustration Of Cartoon Kids Going To
800x468 Back To School. Vector Illustration Of Cartoon Kids Going To
500x492 Happy Students Riding School Bus Going Back To School. Vector
500x492 Happy Students Riding School Bus Going Back To School. Vector
1200x1200 Cartoon Hipster Girl With Bag Going For Shopping Vector Image
1200x1200 Cartoon Hipster Girl With Bag Going For Shopping Vector Image
800x628 Tell Your Child They Are Going To Disney As Darth Vader By
800x628 Tell Your Child They Are Going To Disney As Darth Vader By
416x416 Going Gluten Free! Nutty Yogi
416x416 Going Gluten Free! Nutty Yogi
500x500 Walking Man Icon. Vector Going Man Symbol On White Background
500x500 Walking Man Icon. Vector Going Man Symbol On White Background
366x488 There Are No Shortcuts To Any Place Worth Going. (Motivational
366x488 There Are No Shortcuts To Any Place Worth Going. (Motivational
800x595 Graphic Vector Diagram With Red Arrow Going Up Stock Vector
800x595 Graphic Vector Diagram With Red Arrow Going Up Stock Vector
500x500 Rhino Going Profile Logo Sign Vector Illustration Stock Image And
500x500 Rhino Going Profile Logo Sign Vector Illustration Stock Image And
363x470 Couple Going On A Road Trip Illustration.
363x470 Couple Going On A Road Trip Illustration.
450x359 Grey Hair Lady With Pram Going On Crosswalk Vector
450x359 Grey Hair Lady With Pram Going On Crosswalk Vector
800x1200 Little Girl With Braces Going To School Vector Cartoon Clipart
800x1200 Little Girl With Braces Going To School Vector Cartoon Clipart
752x1054 Entrant][O] Going On An Adventure
752x1054 Entrant][O] Going On An Adventure
800x565 Free Sunny Highway Going Up To The Horizon. Stock Vector Colourbox
800x565 Free Sunny Highway Going Up To The Horizon. Stock Vector Colourbox
800x800 Vector Illustration Of Abstract Highway Going To Horizon. Stock
800x800 Vector Illustration Of Abstract Highway Going To Horizon. Stock
640x640 Junkyard Ls Engine Builds Going From Rags To Riches
640x640 Junkyard Ls Engine Builds Going From Rags To Riches
955x579 Is Eugene Going To Get Uber Or Lyft (Again) Jared Hicks Properties
955x579 Is Eugene Going To Get Uber Or Lyft (Again) Jared Hicks Properties
246x800 Illustration Of Pinocchio Going To School Stock Vector Colourbox
246x800 Illustration Of Pinocchio Going To School Stock Vector Colourbox
800x600 A Simulated Ouija Board Planchette Is Not Going To Conjure Demons
800x600 A Simulated Ouija Board Planchette Is Not Going To Conjure Demons
430x398 Collection Of Basketball Going In Hoop Drawing High Quality
430x398 Collection Of Basketball Going In Hoop Drawing High Quality
800x800 Thief, Burglar Climbing Into House Window, Going To Force Open
800x800 Thief, Burglar Climbing Into House Window, Going To Force Open
500x497 Vector Image Of Carpenter Going For Work Public Domain Vectors
500x497 Vector Image Of Carpenter Going For Work Public Domain Vectors
450x303 Direction Business Community. People Are Going To A Direction
450x303 Direction Business Community. People Are Going To A Direction

All rights to the published drawing images, silhouettes, cliparts, pictures and other materials on GetDrawings.com belong to their respective owners (authors), and the Website Administration does not bear responsibility for their use. All the materials are for personal use only. If you find any inappropriate content or any content that infringes your rights, and you do not want your material to be shown on this website, please contact the administration and we will immediately remove that material protected by copyright.